8b角球比分

8b角球比分
同济天下 崇尚科学 创新引领 追求卓越

8b角球比分 磁性薄膜研究团队在铁磁性哈斯勒合金自旋流研究中取得重要进展,成果发表于《先进科学》

2024-12-12
【 字号:

近日,8b角球比分-足球角球比分直播 磁性薄膜研究团队在铁磁性哈斯勒合金的自旋流产生机制研究中取得重要进展,研究成果以“Large Spin Hall Efficiency and Current-Induced Magnetization Switching in Ferromagnetic Heusler Alloy Co2MnAl-Based Magnetic Trilayers”为题,发表于《先进科学》(Advanced Science)。

该研究工作选择了钴基哈斯勒合金Co₂MnAl(CMA)作为自旋流源。哈斯勒合金作为一类三元金属间化合物,因其元素可替换性、结构可调控性及物性与结构紧密相关的特点,在物理科学和材料科学领域备受关注。此前研究表明,CMA作为一种外尔半金属,具有拓扑能带特性,可增强本征反常霍尔效应与反常能斯特效应,为研究其自旋输运特性提供了基础。然而,CMA的强自旋输运性质尚未得到系统实验验证。 

图1.CMA薄膜的结构表征

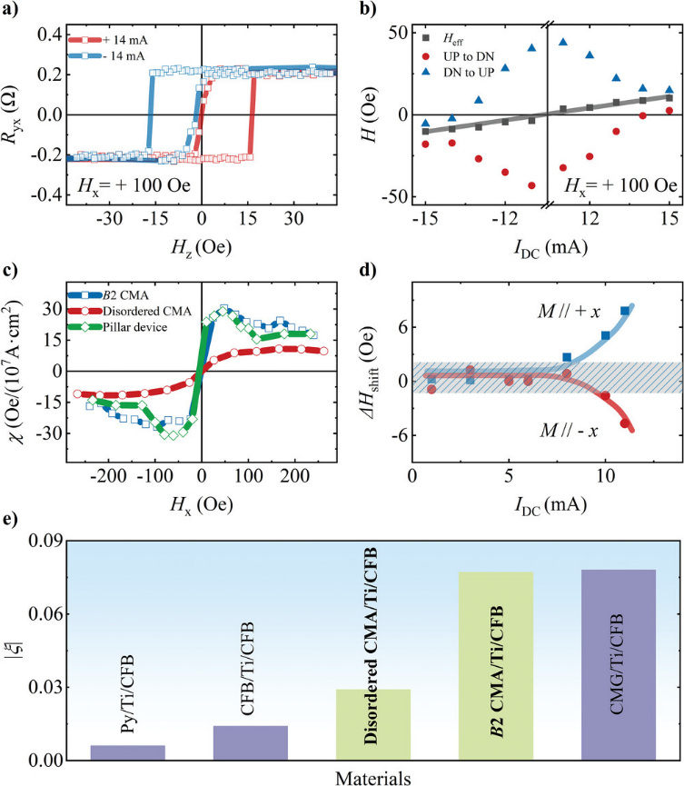
在自旋输运中,自旋霍尔效率(ξ)是衡量自旋输运中材料产生自旋流能力大小的关键参数,其数值越大,材料产生自旋流的能力越高效。本研究通过高质量CMA外延薄膜的制备,深入探索了CMA的自旋输运性能,并揭示了其增强自旋流的物理机制。研究团队在Ti/CoFeB/MgO多层膜结构中利用CMA产生的自旋流,成功实现了具有垂直磁各向异性CoFeB薄膜的电致磁化翻转。特别地,即使在无外加磁场的条件下,仍然观测到磁化翻转现象。这表明CMA能产生具有面外极化的自旋流,其来源可归因于铁磁体的固有反常自旋霍尔效应。其次,通过优化器件结构,将Hall bar中间区域制备为圆柱体,显著减弱了大电流测量中的边缘效应,从而将磁化翻转比例大幅提升至90%。这一优化为电致磁化翻转测量提供了新的设计思路。最后,该工作利用反常霍尔回线偏移表征了CMA的ξ。研究发现,相比于无序结构的CMA,有序CMA中具有更大的ξ。这一结果表明,晶体结构的有序性对于增强自旋流至关重要,为设计高性能自旋电子材料提供了重要指导。

图2.自旋霍尔效率表征

该研究系统揭示了铁磁性哈斯勒合金中自旋流增强的物理机制,为开发基于此类材料的高效自旋电子学器件提供了新思路。成果不仅拓展了哈斯勒合金在自旋电子学领域的潜在应用,还通过整合自旋霍尔效应与反常自旋霍尔效应的协同效应,为实现电致翻转的高性能自旋电子学器件开辟了全新路径。这一成果将进一步推动基于新型拓扑铁磁材料的低功耗、高密度自旋电子学材料与器件的发展。

同济大学为论文第一单位,8b角球比分 博士研究生王铭志为论文第一作者,时钟教授、丘学鹏教授和樊维佳副教授为论文共同通讯作者。同济大学周仕明教授和中国科8b角球比分 上海微系统与信息技术研究所郎莉莉助理研究员也为研究作出重要贡献。研究工作得到了国家重点研发计划、国家自然科学基金、上海市自然科学基金等资助。

论文链接://onlinelibrary.wiley.com/doi/10.1002/advs.202407171